
The work consists of photographs generated in a series of simple actions, performed in our four towns since 2012 – like this:
- One of us plans an action, performs it and photographs it and sends the photographs to the other three, along with directions how to perform it.
- We follow the directions and repeat the action in our different cities (or other places).
- We photograph the actions and the photographs are stored and on a webpage. Here you can also see the directions how to perform the work.
- Then one of the others makes up a new action and so on.
We planned to stop when we don’t want to do it anymore.
With the exhibition in HOLMGÅRD’S gALLERIA September – October 2014, we presented our final action together with earlier works.
November 22 2014 – opening of the exhibition ZYHH+ in Gallery RAUM 170 in Busan
–
Denise Ziegler – Helsinki, Finland
Nobuki Yamamoto – Iwaki Shi Fukushima, Japan
Dae Hong Kim – Busan, South Korea
Peter Holmgård – Copenhagen, Denmark





Fourth Action – Instruction manual and photographs below

Fifth Action – Instruction manual and photographs below

6th Action – Instruction manual and photographs below

7th Action – Instruction manual and photographs below

ZYHH REAL
September 2013 – AAC Festival, Aizu Mishima, Japan – Installation photoprint, white stick

Photo – Nobuo Shiga
1.
ZYHH first action – Instruction manual and photographs:
1. Start writing a reply to this document on your computer.
2. Somewhere in the writing process – lean your forehead against the computer screen and take a photograph of the situation.
3. Attach the photograph to your reply and send it to all three of us. I will put the Photos on the net. You are very welcome to do the same on your webpage if you like.
4. Start thinking of new actions for us to do.
Peter Holmgård




2.
ZYHH second action – Instruction manual and photographs:
1. take four photos about your feet at four different places.
2. make them into one that like a typical window.
3. send it to the rest of us.
Dae Hong
Dae Hong Kim

Peter Holmgård

Nobuki Yamamoto

Denise Ziegler

3.
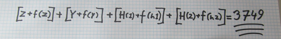
ZYHH third action – Instructions, images etc:
Here is my task for all of you:
– think of a number (any number), wright it down.
– ask a friend to tell you a number (any number).
– add the friends number to your number
– send your number to Peter
– Peter: add all numbers you got from us and your own number
– Peter: publish the final number on the www site




4.
ZYHH 4th action – Instruction Manual and Photographs
Peter Holmgård

Dae Hong Kim

Nobuki Yamamoto – 3×7+4×9=57

5.
ZYHH 5th action – Instruction Manual and Photographs
Produce a 1 meter long white stick. Bring it to a street somewhere in your neighborhood(or somewhere else)
Lean it against something in a 45 degree angle – low end to the left, the high end to the right. Photograph it…
PETER HOLMGÅRD

DAE HONG KIM

DENISE ZIEGLER

SONY DSC
NOBUKI YAMAMOTO

6.
ZYHH 6.th action – Instruction Manual and Photographs
Now the 6th action comes. It is very simple, just take a gray color looking stuff picture around your neighborhood.
But no photoshop or no touch up with any other softwares.
DAE HONG KIM

PETER HOLMGÅRD

DENISE ZIEGLER

DENISE ZIEGLER

7.
The 7.th action has 3 steps:
1.
Choose a familiar view
– photograph it.
2.
Hold the camera in the same position, hold a blank piece of paper in front of the camera in a distance from the camera so that you still see some of the landscape around the paper.
– photograph it from the same position ads the first photograph.
3.
Hold the piece of paper in the same position, put the camera away so you can take a pen/marker pen with the free hand and trace the landscape that the paper is covering. Then put the pen away, take the camera a take a photo from the same position ads the other two photographs.
Send the three photographs to me
Peter Holmgård

Dae Hong Kim

Nobuki Yamamoto

Denise Ziegler
